网络棋牌游戏平台十大排行进行喷砂处理
发布时间:2020-11-30 所属分类:【行业动态】阅读:1929
介绍
干冰是固态二氧化碳(CO 2)的别号。“干”的称号源自CO 2的热力学行为。 在1巴的压力下,CO 2没有液态,取决于温度,它是气态或固态或换言之“枯燥”。 1巴的气固平衡存在于-78.5“C的温度下。干冰是无毒的,不可燃的,不导电的,根据德国法令,是一种无害物质.MAC值为5000 ppm 与其他固体喷丸和喷丸处理介质比较,约2莫氏的干冰硬度适当低。
关于爆炸操作,预制干冰颗粒的运用是最常见的。 颗粒几许形状与大米适当,密度在1.300至1.500kg / m3之间变化。 枯燥的冰粒经过压缩空气加快,而且 根据参数和喷嘴形状它们能够到达声速。

干冰爆炸对外表粗糙度的影响
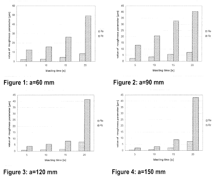
外表粗糙度及其系统性添加是工业外表处理的重要组成部分。操作外表粗糙度的一个意图是添加资料的机械粘附才能。这关于焊接结构能够经过粘附进程替换的每种运用都很重要,例如:g胶合在汽车工业中。虽然干冰喷发被称为“润滑喷发进程”,但它或许对外表特性发生激烈影响,特别是关于比如铝的软资料。简直一切的爆炸参数,例如颗粒质量流量,均匀颗粒直径,作业间隔和喷发时刻(或别离为喷嘴进料)都会对外表粗糙度发生影响。可是,并不总是需求改动一切参数以到达方针成果。因而,参数喷发时刻和作业间隔一般是变化的,因为在大多数情况下它们都易于处理而且能够在很宽的范围内操作外表粗糙度。鄙人图中,针对不同的作业间隔a示出了外表特性R和Rz与爆炸时刻的联系。

在一切测验中,爆炸压力p = 10巴,干冰颗粒的质量流量m = 100kglh是稳定参数。 关于外表粗糙度的测验,运用干冰喷发设备TC45M-V23mm网络棋牌游戏平台十大排行,SP37B微颗粒网络棋牌游戏平台十大排行。此外,测验站包含一个用于喷嘴处理的6轴工业机器人,并由隔音盘绕。 压缩空气由螺杆式压缩机供给。 有必要要说的是,上面显现的成果(图1-4)是典型的铝喷丸,可是你能够很容易地得到不同的成果,例如: G。 只需运用不同的喷嘴。 但是,成果标明,经过改动一个或两个工艺参数,能够在很宽的范围内操作外表粗糙度。 干冰喷发也可用于添加其他资料的外表粗糙度,但特别是关于较硬的资料,其他工艺愈加充沛。 图5显现了按时喷砂铝外表的粗糙化。

图5:粗糙铝外表
干冰爆炸对硬化和剩余应力的影响
与用于外表处理的“经典”喷砂介质比较,干冰相对较软。因而,它一般被以为对金属资料的机械性能的影响很小。如上所述,在外表上喷发干冰的作用不仅是机械的,而且还不确定每种组织对资料特性的影响。为了找出运用干冰能够处理哪种资料以及能够操控机械特性的办法,现已对三种不同的金属进行了基础研讨:铝合金AIMg3,黄铜合金CuZn37和奥氏体钢X5CrNi18.9 。关于维氏硬度的一切资料丈量,在用干冰喷丸之前和之后进行剩余应力。在整个进程中,只改动了喷嘴进料,而一切其他喷发参数如喷砂间隔,压力,视点和干冰颗粒的质量流量都已调整到一般用于清洁运用的值。
这些实验的测验设备是由台湾TOOICE供给的清洗设备TC45M-V2与SP37B。 维氏硬度经过低负荷硬度测验设备丈量,剩余应力经过运用X射线衍射仪丈量。 一切测验样品都经过研磨和抛光,以便为一切测验供给相同的初始状况。
测验成果标明,一切测验资料都能够硬化以及刺进剩余应力。 关于硬度测验,关于一切资料,喷嘴进料现已在0.01,0.03,0.10,0.50和1.0毫升的水平下变化。 最低进料量到达0.01毫升时到达最高硬度,随后可到达的硬化跟着喷嘴进料量的添加而下降。 关于AIMg3,经过运用的硬度测验设备无法丈量低于喷嘴进料0.10 mlmin的硬度添加,因为无法确定Vickers形象光学地,因为喷砂进程发生十分高的外表粗糙度值。
关于剩余应力,每种资料显现出不同的行为。 关于AIMg3,运用1.0ml / min的喷嘴进料到达约130MPa的最高剩余应力,而关于较低速度,剩余应力的值敏捷下降至较低水平。 这种行为是因为AIMg3的过度喷丸,这意味着超过了为了添加剩余应力而发生的临界爆炸强度。 CuZn37显现出类似的行为,但这儿的临界喷嘴进料为0.1毫升。 关于奥氏体钢X5CrNil8.9,经过施加的喷砂参数不能到达临界喷砂强度,对喷嘴速度0.01mlmin丈量最高水平的剩余应力。 表1显现了硬度和剩余应力值的“最佳”成果。
因为其粗粒结构,未经处理的AIMg3的剩余应力的丈量是不或许的。
实验标明,用较低的喷嘴进料完成的高喷发强度导致一切在未处理条件下不太软的资料的硬度添加。 对测验样品的外表粗糙度的丈量标明,关于高喷发强度,粗糙化使外表硬度的添加失去平衡。 这是软资料的一个相关现实,其间干冰喷发会导致资料外表的激烈塑性变形。 此外,测验成果标明,一般来说,较硬的资料具有较高的硬化潜力(Elbing,2003; Spur,2002)。
讨论
实验成果标明,干冰喷发可用作喷丸工艺,具有很大的工业运用潜力。干冰和其他喷砂介质之间的主要区别在于它在室温下进步,因而在加工后不用除掉喷砂介质的残留物。这关于杂乱结构有必要进行喷丸处理的一切运用都很重要,因而为了在之后清洁它们,所以尽力十分高。此外,干冰喷发可用于各种资料,如钢铁,以及较软的资料,如铝。喷丸工艺的成果因资料而异,因而干冰喷发是一种定制规划的工艺。一般能够说剩余应力,硬度和外表粗糙度的添加是可到达的,但这些效应之间存在相关性。添加外表粗糙度一般意味着外表硬度值一起下降。干冰喷发进程的一个缺点是对作业环境的要求:在此进程中,或许出现高达125dB(A)的声压级而且或许进步周围空气中的CO 2浓度。此外,进程自动化一般投资费用较高。
展望
进一步研讨干冰喷发头以添加该进程的作用。 特别是机械,热和由进步发生的作用将别离进行分析。 实验标明,迫切需求进行研讨,因为不知道每种效应对爆炸成果有何影响。 假定较硬的颗粒以及在用干冰喷丸之前加热工件或许对喷发成果具有激烈影响。



